Arbeidsvoorwaarden
Niet alleen onze functies zijn interessant, ook onze arbeidsvoorwaarden zijn dat! Van flexibele werktijden en hybride werken (deels thuis, deels op het provinciehuis) tot aan studiefaciliteiten en het Individueel Keuze Budget (IKB). Er zijn nog veel meer interessante secundaire arbeidsvoorwaarden. Hieronder vertellen we je er graag meer over.
Dit bieden we
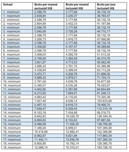
Je salaris is afhankelijk van de schaal die hoort bij jouw functie. Jouw werkervaring of specifieke kennis bepalen de hoogte van het salaris binnen de voor jou geldende schaal. Zolang je het maximum van je schaal nog niet hebt bereikt, ontvang je jaarlijks een salarisverhoging van 3%. Het minimum-maximum bedrag per schaal wordt ieder jaar opnieuw vastgesteld in de CAO van de provincies. Afhankelijk van jouw functioneren, kan je leidinggevende jaarlijks bepalen of je bijvoorbeeld een trede hoger wordt ingedeeld. Vanaf 1 januari 2026 geldt de salarisschaal als volgt:

Individueel Keuzebudget
Naast je salaris heb je de beschikking over een Individueel Keuzebudget (IKB). Dit is een persoonlijke spaarpot opgebouwd uit vakantiegeld, eindejaarsuitkering en bovenwettelijk verlof. Je kunt kiezen waar je dit budget aan wilt besteden. Zo kun je bijvoorbeeld voor kiezen om het maandelijks uit te laten betalen, maar ook kun je het reserveren voor een later moment waarop het jou beter uitkomt. Ook biedt het de mogelijkheid om bepaalde zaken te betalen uit je brutosalaris waardoor je fiscaal voordeel hebt. Denk hierbij bijvoorbeeld aan:
- de aanschaf van een fiets voor woon/werkverkeer;
- verlof kopen;
- de inrichting van een thuiswerkplek;
- een bijdrage aan vakbondscontributie;
- de aflossing van je eigen studieschuld bij DUO. Hiervoor mag je maximaal € 1.250,- per kalenderjaar inzetten. Dit is mogelijk voor een periode van 6 jaar voor een totaalbedrag van maximaal € 7.500,-;
- sportfaciliteiten, zet maximaal €360 bruto per jaar van je IKB-budget in voor lidmaatschap of de contributie van je sportschool. Of vergoed een personal trainer, yogalessen of een andere sport die je uitoefent in verenigings- of clubverband. Zo kies je zelf een sportactiviteit die aansluit bij jouw persoonlijke voorkeur en situatie.
Het percentage IKB bedraagt per maand 22,37% tot en met schaal 13 en 21,82% vanaf schaal 14. Het IKB is opgebouwd met vakantiegeld, eindejaarsuitkering, bijdrage levensloopregeling en bovenwettelijke vakantiedagen.
Een goed pensioen
Je neemt deel aan de pensioenregeling van ABP, het pensioenfonds voor overheid en onderwijs. De pensioenpremie wordt maandelijks ingehouden op je salaris. Zelf betaal je maar 1/3 deel van deze premie, de werkgever legt 2/3 deel bij. Zo spaar je ongemerkt voor later.
ABP zorgt niet alleen voor een zeker inkomen voor de toekomst, maar biedt ook een extra vangnet bij overlijden en arbeidsongeschiktheid. Een geruststellende gedachte, mocht je daar ooit mee te maken krijgen! Vanwege onze inzet om pensioen blijvend en op een begrijpelijke manier onder de aandacht te brengen bij onze medewerkers is de provincie Zuid-Holland verkozen tot winnaar van de ABP PensioenPluim van 2025.
Verlof
Als je bij ons in dienst bent, heb je recht op 144 uur vakantie per jaar op basis van een fulltime dienstverband van 36 uur per week. Als je parttime werkt, dan is dit naar verhouding van je dienstverband. Met je IKB is het mogelijk om meer verlofuren te kopen. Kom je gedurende het jaar in dienst dan worden de uren naar verhouding berekend. Naast het vakantieverlof is er ook de mogelijkheid om overige verlofsoorten aan te vragen; zoals ouderschapsverlof, buitengewoonverlof, zorgverlof en zwangerschapsverlof.
Compensatieverlof
Formeel werk je 36 uur per week bij een fulltime dienstverband. Hier is ook je salaris op gebaseerd. Het is mogelijk om meer dan 36 uur te werken, tot een maximum van 40 uur per week. De extra uren krijg je dan terug in de vorm van compensatie-uren. Formeel werk
je dus 36 uur en feitelijk 40 uur. Werk je minder dan 36 uur formeel dan kan je ook nog compensatie-uren opbouwen. Voorwaarde hierbij is dat het aantal compensatie-uren dat je opbouwt maximaal 10% mag zijn van het aantal uur dat je feitelijk werkt. Als je bijvoorbeeld feitelijk 32 uur per week werkt, dan mag daarvan hoogstens 3,2 uur opbouw compensatie-uren zijn; je krijgt dan voor 28,8 uur betaald. Het opgebouwde compensatieverlof kan je alleen in hetzelfde jaar opnemen
Reizen
Duurzaamheid is voor ons erg belangrijk. Daarom is het uitgangspunt van de provincie Zuid-Holland om zo veel mogelijk gebruik te maken van het openbaar vervoer of indien mogelijk de fiets. Voor het openbaar vervoer ontvang je van ons een NS-Businesscard waarmee je kosteloos in de tweede klas zowel je reizen naar kantoor als je dienstreizen kunt maken. Ook mag je kosteloos van de eerste klasse gebruik maken als je wat langer in de trein moet zitten en je wil werken, of het is erg druk. Je kunt gebruik maken van trein, tram, bus en metro. Als je met de fiets naar werk komt, ontvang je een fietsvergoeding. Kan je wandelend naar het provinciehuis komen? Ook dan geven wij een vergoeding! Deze twee vergoedingen bedragen €0,23 per kilometer.
Hybride werken
We stimuleren digitaal thuiswerken, indien je functie dit toelaat. Het is onze ambitie om hybride te werken, waardoor we plaats onafhankelijk kunnen werken: vanuit huis, op het provinciehuis of bij een externe partner. Elk team maakt hier eigen afspraken over. We faciliteren daarnaast het inrichten van een eigen thuiswerkplek, waarbij de gezondheid van onze collega’s voorop staat. Zo kun je als je bij ons in dienst bent onder andere een beeldscherm, muis of toetsenbord aanvragen. Ook krijg je van ons een laptop en telefoon, zodat je optimaal je werk kan doen.
Thuiswerkvergoeding
Op dagen waarop je thuiswerkt ontvang je een vergoeding van €3,- netto per dag. Deze vergoeding geldt alleen voor functies, waarbij thuiswerken logischerwijs tot de mogelijkheden behoort.
Groei en ontwikkeling
Bij de provincie Zuid-Holland vinden we het belangrijk dat jij jezelf zowel persoonlijk als professional kan ontwikkelen. We moedigen je aan om nieuwe vaardigheden te verwerven en bestaande expertise aan te scherpen. Zo krijgt elke collega een persoonlijk budget voor duurzame inzetbaarheid van €6000 euro per 5 jaar dat bijvoorbeeld voor opleidingen en cursussen kan worden ingezet. Ook vinden we interne doorstroom heel belangrijk. Collega’s worden gestimuleerd om horizontaal of verticaal van functie te veranderen, waardoor ze bredere ervaring kunnen opdoen en nieuwe perspectieven kunnen verwerven. Meer weten over de mogelijkheden? Lees het hier!
Automatisch passende vacatures ontvangen?
Schrijf je in voor onze job alert en wij houden je op de hoogte per email.
Inschrijven job alert